Arq. Bras. Cardiol. 2022; 119(1): 76-84
Abnormal Circadian Blood Pressure Variation is Associated with SYNTAX Scores in Hospitalized Patients with Acute Coronary Syndrome
This Original Article is referred by the Short Editorial "Can Attenuated Nocturnal Dipping be a Predictor of the Severity and Complexity of Coronary Artery Disease in Hospitalized Patients with Acute Coronary Syndrome?".
Abstract
Background
Blunted nocturnal blood pressure (BP) reduction, referred to as non-dipper hypertension, is a strong predictor of cardiovascular morbidity and mortality.
Objectives
This study aimed to investigate the relationship between non-dipper hypertension and the severity and complexity of coronary artery disease using SYNTAX score in hospitalized patients with acute coronary syndrome.
Methods
A total of 306 consecutive patients with acute coronary syndrome were screened. Patients who were clinically stable and admitted to the intermediate intensive care unit at least 24 hours after angiography and/or successful revascularization. After the exclusion criteria, 141 patients (34 female and 107 male; mean age 61 ± 11 years) were included. Non-dipper hypertension has been defined as a 0% to 10% decrease in average systolic BP at nighttime compared to daytime, measured at hourly intervals using the same automatic BP measuring device on bedside monitors (Vismo PVM-2701; Nihon Kohden Corp., Tokyo, Japan). SYNTAX score was calculated with an online calculator. The independent predictors of SYNTAX score were assessed using multivariable logistic regression analysis. P < 0.05 was considered statistically significant.
Results
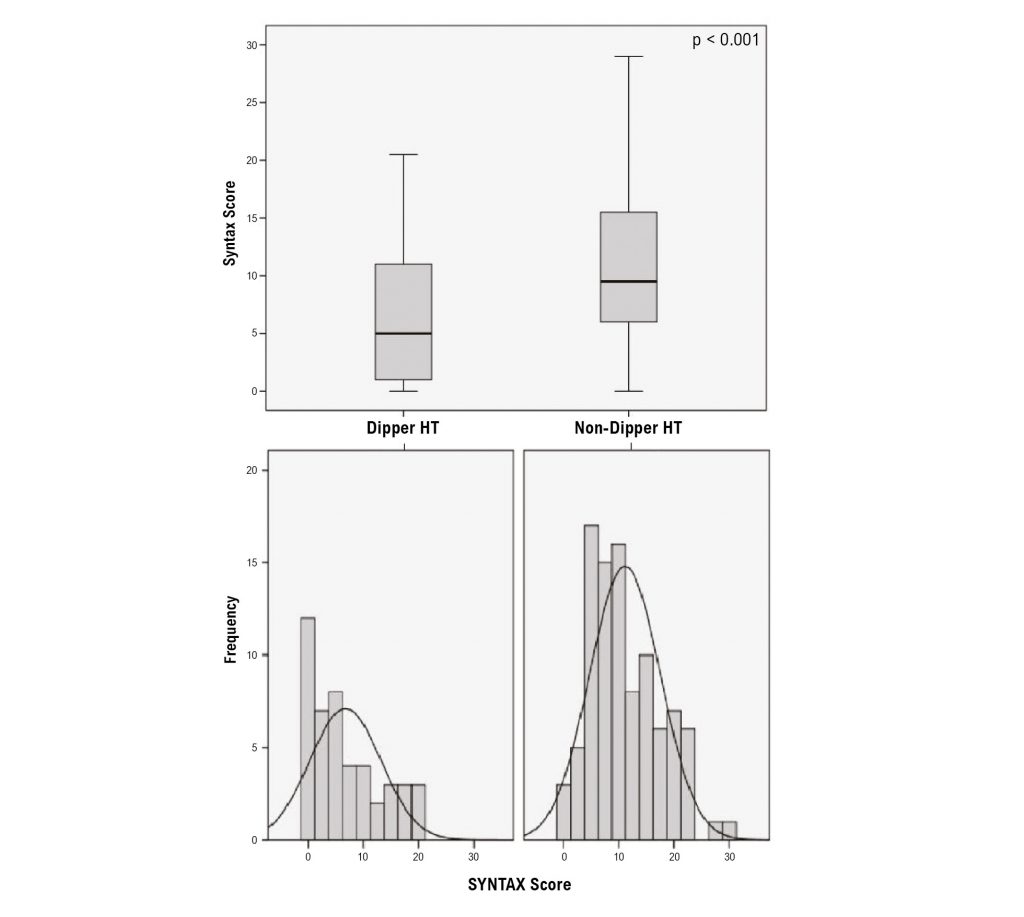
The patients with non-dipper hypertension had higher SYNTAX score than the patients with dipper hypertension (11.12 ± 6.41 versus 6.74 ± 6.45, p < 0.0001). In a multivariable logistic regression model, non-dipper hypertension status (odds ratio: 5.159; 95% confidence interval: 2.246 to 11.852, p < 0.001), sex (p = 0.012) and low-density lipoprotein cholesterol (p = 0.008) emerged as independent predictors of high SYNTAX score.
Conclusions
The results of our study provide a possible additional mechanism linking abnormal circadian BP profile with coronary artery disease severity and complexity in patients with acute coronary syndrome.
1,180

