Arq. Bras. Cardiol. 2017; 109(4): 313-320
Twenty-four hour Blood Pressure in Obese Patients with Moderate-to-Severe Obstructive Sleep Apnea
DOI: 10.5935/abc.20170130
Abstract
Background:
Obesity, systemic arterial hypertension (SAH) and obstructive sleep apnea (OSA) are closely related. Up to 70% of patients with OSA may be asymptomatic, and there is evidence that these patients have cardiovascular disease, especially nocturnal SAH.
Objectives:
The aim of this study was to evaluate 24-hour blood pressure circadian variation in asymptomatic, obese individuals with moderate-to-severe OSA and compare it with that in individuals with mild OSA or without OSA.
Methods:
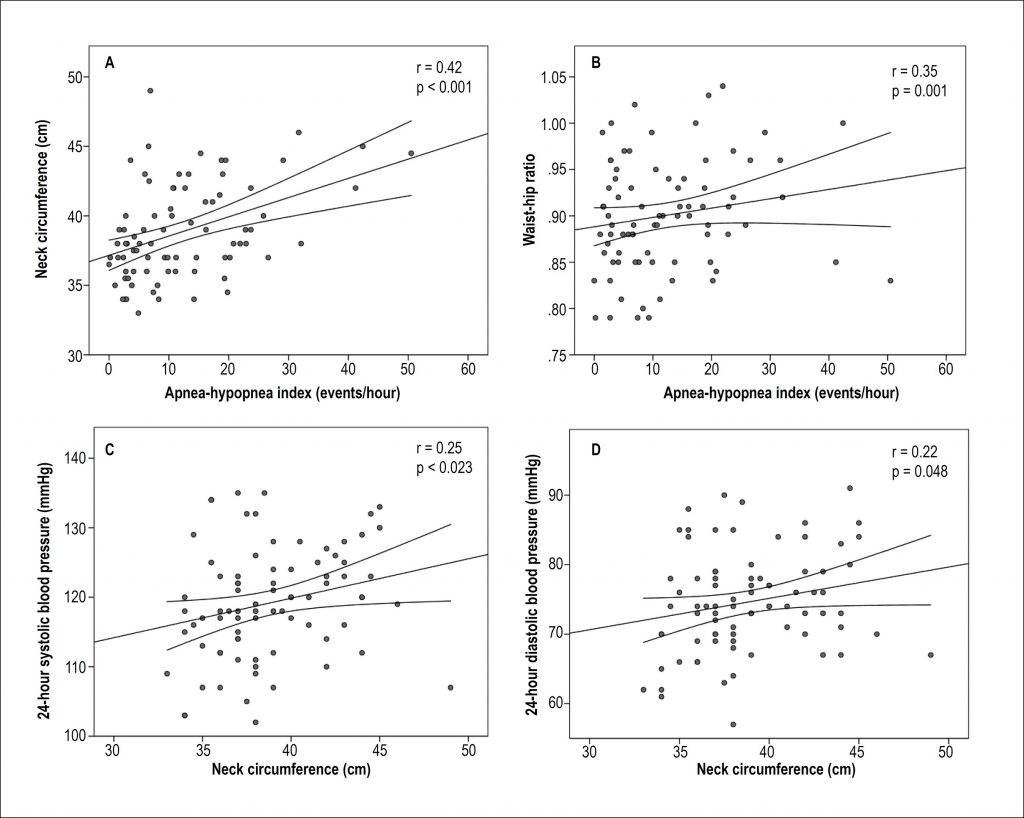
Eighty-six obese subjects aged between 30 and 55 years (BMI 30-39 kg/m2), with casual blood pressure < 140/90 mmHg and without comorbidities were recruited. Eighty-one patients underwent clinical and anthropometric assessment, ambulatory blood pressure monitoring (ABPM), and Watch-PAT. Participants were divided into two groups, based on the apnea-hypopnea index (AHI): group 1, with AHI < 15 events/hour, and group 2 with AHI ≥ 15 events/hour.
Results:
Compared with group 1, group 2 had higher neck circumference and waist-hip circumference (40.5 ± 3.2 cm vs. 38.0 ± 3.7 cm, p = 0.002, and 0.94 ± 0.05 vs. 0.89 ± 0.05, p = 0.001, respectively), higher systolic and diastolic blood pressure measured by the 24-h ABPM (122 ± 6 vs 118 ± 8 mmHg, p = 0.014, and 78 ± 6 vs 73 ± 7 mmHg, p = 0.008, respectively), and higher nocturnal diastolic pressure load (44,6 ± 25,9% vs 31,3 ± 27,3%, p = 0,041). Moreover, there was a positive correlation between nocturnal diastolic blood pressure and AHI (r = 0.43, p < 0.05).
Conclusions:
Asymptomatic obese subjects with moderate-to-severe OSA have higher systolic and diastolic blood pressure at 24 hours compared with those with absent / mild OSA, despite normal casual blood pressure between the groups. These results indicate that ABPM may be useful in the evaluation of asymptomatic obese patients with moderate-to-severe OSA.
543

