Arq. Bras. Cardiol. 2021; 117(4): 701-712
Desempenho Individual e Combinado de Indicadores de Obesidade Geral e Central para Estimar Risco Coronariano em Participantes do ELSA-Brasil
Este Artigo Original é referido pelo Minieditorial "Estratégia Chave para Prever Doenças Cardiovasculares: Uma Combinação de Índices Antropométricos".
Resumo
Fundamento:
Indicadores antropométricos são utilizados na prática clínica e em estudos epidemiológicos para rastreamento de fatores de risco à saúde.
Objetivo:
Avaliar o poder discriminatório individual do Índice de Adiposidade Corporal (IAC), do Índice de Massa Corporal (IMC), da Circunferência da Cintura (CC) e da Razão Cintura-Quadril (RCQ) para identificar risco coronariano e investigar se a combinação de indicadores antropométricos de obesidade geral e central melhora a capacidade preditiva em adultos.
Métodos:
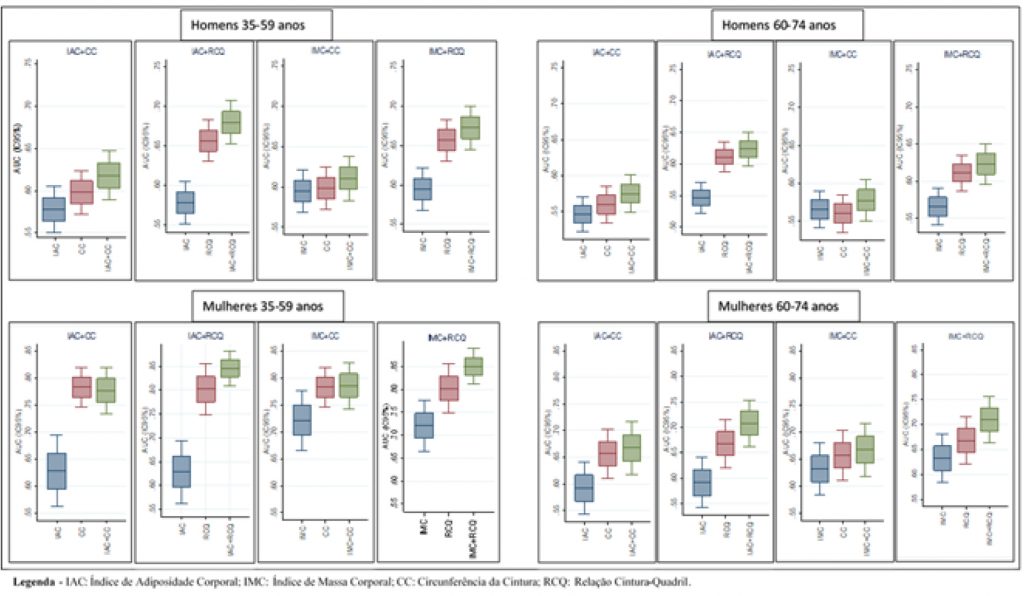
Avaliou-se 15 092 participantes (54,4% mulheres) com idades entre 35-74 anos na linha de base do ELSA-Brasil. Indivíduos em risco coronariano foram identificados pelo Escore de Risco de Framingham, e divididos em risco muito alto (RMA20%) e risco alto (RA10%). Medidas de acurácia diagnóstica e áreas sob curvas ROC (AUC) foram analisadas. Associações foram testadas por regressão de poisson com variância robusta, conforme sexo e idade. Foi adotada significância estatística de 5%.
Resultados:
A RCQ apresentou melhor poder discriminatório para RMA20% em todos os grupos, com maior capacidade preditiva nas mulheres (AUC: 0,802; IC95%: 0,748-0,856 vs 0,657; IC95%: 0,630-0,683 nas faixas etárias 35-59 anos e AUC: 0,668; IC95%: 0,621-0,715 vs 0,611; IC95%: 0,587-0,635 nas faixas etárias 60-74 anos). As combinações IAC+RCQ e IMC+RCQ apresentaram melhor poder preditivo em homens e mulheres, respectivamente. Combinações entre indicadores de obesidade geral e central estiveram mais fortemente associadas com RMA20% e RCA10% em todos os estratos.
Conclusões:
Indicadores combinados tiveram melhor capacidade preditiva do que um indicador isoladamente, sendo IAC+RCQ e IMC+RCQ melhores estimadores de risco coronariano em homens e mulheres, respectivamente. RCQ teve melhor desempenho individual.
760

