Arq. Bras. Cardiol. 2022; 118(1): 24-32
Efeitos do Ato de Fumar na Mortalidade de Longo Prazo após Infarto do Miocárdio por Elevação de ST
Resumo
Fundamento
O paradoxo do fumante tem sido motivo de debate para pacientes com infarto agudo do miocárdio (IM) há mais de duas décadas. Embora haja muitas evidências demonstrando que não existe tal paradoxo, publicações defendendo desfechos melhores em fumantes pós-IM ainda são lançadas.
Objetivo
Explorar o efeito do fumo na mortalidade de longo prazo após infarto do miocárdio por elevação de ST (STEMI).
Métodos
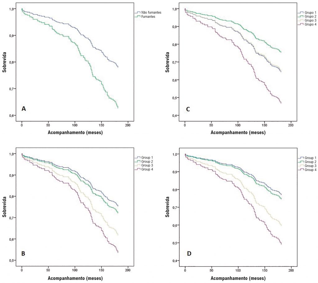
Este estudo incluiu pacientes com STEMI que foram diagnosticados entre 2004 e 2006 em três centros terciários. Os pacientes foram categorizados de acordo com a exposição ao tabaco (Grupo 1: não-fumantes; Grupo 2: <20 pacotes*anos; Grupo 3: 2-040 pacotes*anos; Grupo 4: >40 pacotes*anos). Um modelo de regressão de Cox foi utilizado para estimar os riscos relativos para mortalidade de longo prazo. O valor de p <0,05 foi considerado como estatisticamente significativo.
Resultados
Trezentos e treze pacientes (201 fumantes e 112 não-fumantes) foram acompanhados por um período médio de 174 meses. Os fumantes eram mais novos (54±9 vs. 62±11, p: <0,001), e a presença de fatores de risco cardiometabólicos foi mais prevalente entre os não-fumantes. Uma análise univariada do impacto do hábito de fumar na mortalidade revelou uma curva de sobrevivência melhor no Grupo 2 do que no Grupo 1. Porém, após ajustes para fatores de confusão, observou-se que os fumantes tinham um risco de morte significativamente maior. O risco relativo tornou-se maior de acordo com a maior exposição (Grupo 2 vs. Grupo 1: RR: 1,141; IC95%: 0,599 a 2.171; Grupo 3 vs. Grupo 1: RR: 2,130; IC95%: 1,236 a 3,670; Grupo 4 vs. Grupo 1: RR: 2,602; IC95%: 1,461 a 4,634).
Conclusão
O hábito de fumar gradualmente aumenta o risco de mortalidade por todas as causas após STEMI.
1.517

