Arq. Bras. Cardiol. 2021; 117(2): 270-278
Uso de Estatinas Melhora a Proteção Cardiometabólica Promovida pelo Treinamento Físico em Ambiente Aquático: Um Ensaio Clínico Randomizado
Este Artigo Original é referido pelo Minieditorial "Uso de Estatina Associado ao Treinamento Físico: Uma Combinação Perfeita".
Resumo
Fundamento:
O uso de estatinas destaca-se como a terapia mais frequentemente utilizada para o tratamento de dislipidemias e pode ser considerado a intervenção farmacológica mais eficiente para a redução da lipoproteína de baixa densidade (LDL). Por outro lado, o treinamento físico pode ser considerado uma estratégia não farmacológica eficiente e segura para promover melhorias no perfil lipídico. No entanto, não se sabe qual seria a influência das estatinas nas adaptações lipídicas decorrentes do treinamento aquático em populações com dislipidemia.
Objetivos:
Analisar a influência do uso de sinvastatina nas adaptações lipídicas decorrentes do treinamento aeróbico em meio aquático e de resistência em mulheres idosas com dislipidemia.
Métodos:
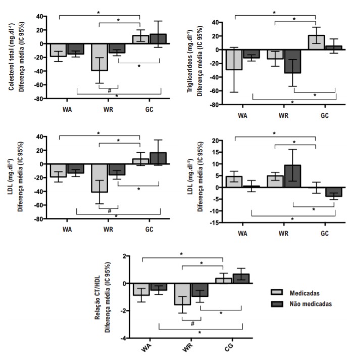
Sessenta e nove mulheres idosas (66,13 ± 5,13 anos), sedentárias e dislipidêmicas, tanto não usuárias quanto usuárias de sinvastatina (20 mg e 40 mg), foram randomizadas nos 3 grupos seguintes: treinamento aeróbico em meio aquático (WA), treinamento de força em meio aquático (WR) e grupo controle (GC). A duração total das intervenções, para todos os grupos experimentais, foi de 10 semanas, com 2 sessões semanais. As análises bioquímicas foram realizadas antes do início das intervenções e repetidas após o final do ensaio. Foram utilizadas equações de estimativa generalizada para comparar esses dados, estabelecendo α = 0,05.
Resultados:
Na análise por intenção de tratar, as participantes medicadas demonstraram uma redução de magnitude maior do colesterol total (CT) (−3,41 a −25,89 mg.dl−1; p = 0,038), LDL (−5,58 a −25,18 mg.dl−1; p = 0,007) e da relação CT/HDL (−0,37 a −0,61; p = 0,022) quando comparadas às participantes não medicadas, essa redução sendo estatisticamente significativa apenas no grupo WR.
Conclusões:
O uso de estatina incrementa as adaptações promovidas pelo treinamento físico aquático no CT, nos níveis de LDL e na relação CT/HDL, sendo mais pronunciado após WR.
1.613

